
一、KTV等娛樂場所建筑聲學設計的概況
KTV場所分類
A.量版式KTV
朋友聚會,家庭團聚,同學party,生日慶祝。消費平民化。
B.高級娛樂會所
裝修豪華,適合商務應酬,注重私密性。消費高。
C.夜總會
小包房設計面積在8~11平米,中包房設計在15~18平米,大包房在24~30平米,特大包房在55平米以上為宜
我國是世界上卡拉OK最多的國家,其裝修風格各有千秋,但是普遍存在聲學效果差的問題。即使KTV內部裝修的多豪華,音響系統多高級,當人們去唱歌的時候還會發現唱起歌來很吃力,或者有聲染色現象。有些地方還會串音嚴重,有些KTV還會由于排放的噪聲影響了附近居民的正常生活而投訴不斷,不能正常營業。為了能保證KTV的正常營業,KTV聲學效果不能僅依賴高端的音響系統,而且也不實際,還要為好的音響系統制造優良的聲學環境,使音響水準發揮得淋漓盡致。這就需要建筑聲學設計,并且至始至終參透于KTV的裝修,裝飾之中。
二、KTV等娛樂場所建筑聲學設計的相關標準和規范
1、《建筑隔聲評價標準》GB/50121-2005
2、《民用建筑隔聲設計規范》GB 50118-2010
3、《社會生活環境噪聲排放標準》GB 22337-2008
4、《聲環境質量標準》GB 3096-2008
5、《建筑隔聲與吸聲構造》(國家建筑標準設計圖集08J931)
6、《廳堂混響時間測量規范》GBJ76-84
7、《民用建筑工程室內環境污染控制規范》GB50325-2001
8、《建筑設計防火規范》GBJ16-1987(2001年版)
9、《建筑內部裝修設計防火規范》(GB50222-95)
三、KTV等娛樂場所建筑聲學設計的項目特點及聲學問題
1、音質問題
(1)接待室及等候廳容量較大,在沒有經過任何建筑聲學裝修的情況下,混響時間過長,聽音混濁,清晰度低,影響客人與接待人員正常交談。
(2)包房體型規則成正方形,房間容量小,容易產生聲染色、共鳴、諧振等。
(3)包房體型為弧形,凹型,容易產生聲聚焦。
(4)包房混響時間過長,加上設備本身存在的缺陷,容易產生嘯叫。同時混響時間過長影響歌唱者聽音的清晰度。
2、噪聲
(1)包間與包間之間隔墻隔聲性能差,包間產生串音現象。
(2)地面撞擊聲大,KTV排放噪聲影響附近居民正常生活和工作。
(3)設備噪聲,中央空調系統,通風系統噪聲過大。
四、KTV等娛樂場所建筑聲學設計的音質設計
混響時間
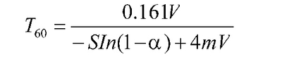
混響時間T60是指當室內聲場達到穩態后,令聲源停止發聲,自此刻起至聲壓級衰變60dB所經歷的時間。是評價房間音質最重要的客觀指標之一。
T60的計算公式為:

其中,室內平均吸聲系數:

V —房間容積,m3; S —室內總表面積,m 2; α —室內平均吸聲系數; m —空氣中聲衰減系數(M-1);
S i —室內各部分的表面積,m2;α i —與Si對應的吸聲系數;N j —人或物體的數量,m2; α j — 與Ni對應的吸聲系數。
小包房設計面積在8~11平米,中包房設計在15~18平米,大包房在24~30平米,特大包房在55平米以上。包房容積并非太大,所以混響時間根據房間體型大小主要控制在0.5-1.0s之間。
解決方案
1、接待廳和等候廳的墻面和頂棚根據混響時間的大小要求合理布置吸聲材料和吸聲吊頂。吸聲墻面和吊頂的具體規格,面積和安裝方法見CAD圖紙。
2、包房中的墻面和頂棚根據計算的混響時間大小合理布置吸聲材料,小包廂主要在音響設備、視頻的后墻上和對墻安裝吸聲結構。中包房、大包房和特大包房要根據混響時間要求合理增加材料面積。為減少成本,可設置吸聲吊頂。要注意避免做成“腔體”結構。
3、家具的擺放位置和其他裝飾設計要考慮有利于聲場的擴散,如音響設備與演唱者的距離要遠,對聲場的擴散有利。
4、包房各點聲場聲壓級測試值偏差小于2dB。
5、在聲影區設立一個獨立的酒吧臺或者私密區,避免聲影區對其他功能區的影響。
五、KTV等娛樂場所建筑聲學設計的隔聲和噪聲控制
1、室內內降噪量:

式中:△Lp—房間內吸聲降噪量(dB); Q—指向性因子;R1—處理前的房間常數; R2—處理后的房間常數;r—受聲點到聲源的距離。
2、隔聲質量定律:
R=20lgm+20lgf-48
式中:R—隔聲量(dB); m—材料的面密度(kg/m2);
f—入射聲波的頻率(HZ);
《民用建筑設計通則》JGJ37-87中,要求各類主要用房的隔墻計權隔聲量Rw不應小于40dB。


0類功能區適用于特殊住宅區,如高級住宅區、療養院等。
1類功能區適用于以居住、文教機關為主的區域。
2類功能區適用于居住、商業、工業混雜區及商業中心區。
3類功能區適用于工業區。
4類功能區適用于交通干線道路兩側區域。
解決方案
(1)墻體隔音:大廳與包間之間,包間與包間之間都要做好隔聲處理。首先經濟實用的是2/4紅磚墻,隔墻一定要砌到頂部,其次是隔音墻,采用輕鋼龍骨石膏板或者隔音防火板。
(2)墻體需要走通風管道或者其他走線時再打孔穿過,線路要做好密封處理,避免引起串音現象。
(3)地面隔音:房間的空氣噪聲會通過振動向樓下和結構傳播,可通過找平地面,滿鋪隔音材料,安裝地板的方式解決。
(4)天花板隔音:在原有樓板的基礎上,做輕鋼龍骨吊頂,外面形成一個空腔內填滿吸音材料,在吸音材料下面用雙層石膏板做一層輕質吊頂。
(5)選擇低頻聲的排風、空調系統,選擇低阻抗阻尼系數的功放,話筒和音響系統。降低背景噪聲。
(6)對通風系統和中央空調系統等進行必要的消聲,隔音減振處理。
(7)其他配電房,機房,冷卻塔等構筑物必須做好隔聲減振處理。
(8)與外界相通的門窗必須做隔聲處理,門窗要做好密封處理,不能留有縫隙。
使用材料要求
1、大廳和包房的頂棚材料應采用A級裝修材料,墻面、地面材料不應低于B1級。
2、疏散通道和走廊內頂棚材料應采用A級裝修材料,墻面、地面材料不應低于B1級。
3、大廳和包房頂棚、墻面裝飾采用的龍骨材料均應為A級材料。
4、隔墻的耐火極限不低于2.0h,樓板耐火極限不低于1.5h。
5、疏散門的數量應經計算確定,且不應少于2個。且不應小于0.90m。應采用甲級防火門。
6、沒有玻璃纖維粉塵污染,滿足環保要求。甲醛釋放量達到E1級以上標準。
上一條:沒有了!
下一條:沒有了!


掃一掃關注
微信公眾號
聲學材料
聲學設計
聲學整裝
新聞中心
關于我們
廣東天戈聲學集團有限公司
24小時客服熱線
400-0757-868
周一至周日:09:00-18:00
廣東省佛山市三水區白坭鎮聚金路16號